• Предмет: Геометрия
  • Автор: ilyasazanov5
  • Вопрос задан 7 лет назад

записать уравнения окружности с центром B m.C a)C(-5;2),r=7. б)C(0;-8) r=√3​

Ответы

Ответ дал: rano237620
0

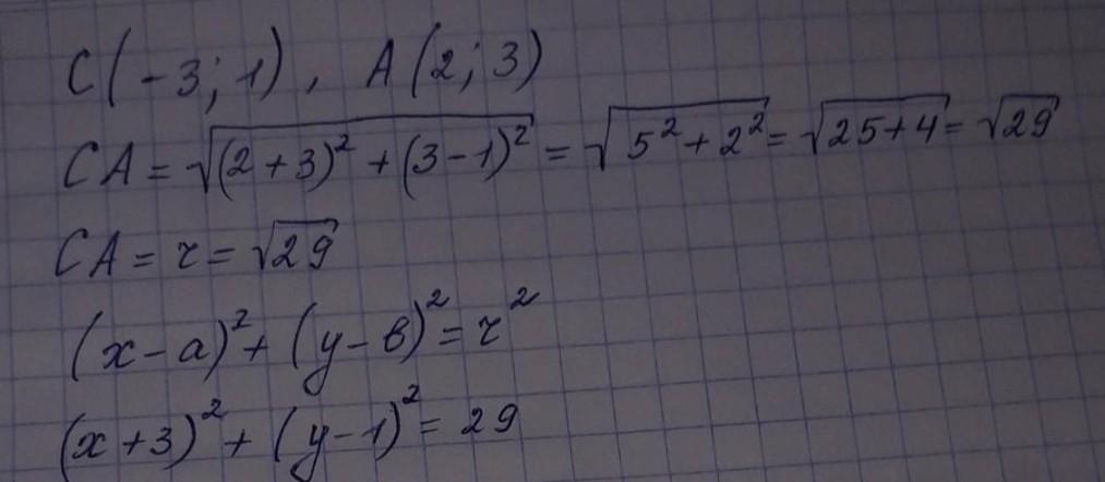
Ответ:

Всё показано но фото

Объяснение:

сделайте пожалуйста как лучший ответ

Приложения:

ilyasazanov5: так это не то
Вас заинтересует