• Предмет: Алгебра
  • Автор: altiza
  • Вопрос задан 7 лет назад

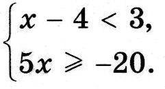
Решите пожалуйста неравенство

Приложения:

Ответы

Ответ дал: m11m
1

Ответ:

Объяснение:

!!!!!!!!!!!!!!!!!!!!!!!!

Приложения:
Ответ дал: alinarahmonova920
0

Ответ:

скачай фотомач

Объяснение:

я дам решу ,но может выйти неправильно

Вас заинтересует