Ответы
                                            Ответ дал: 
                                                                                    
                                        
                                            
                                                
                                                
                                                
                                                    0
                                                
                                            
                                        
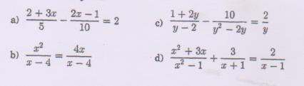
                                    a) 2 + 3x\5 - 2x - 1\10 = 2
2(2+3х) - (2х - 1) = 20
4 + 6х - 2х + 1 = 20
5 + 4х = 20
4х = 20 - 5
4х = 15
у = -3\2
Вас заинтересует
                
                        2 года назад
                    
                
                        3 года назад
                    
                
                        3 года назад
                    
                
                        8 лет назад
                    
                
                        8 лет назад