СРОЧНО, УЖЕ В КОТОРЫЙ РАЗ ПРОШУ, ПОМОГИТЕ, ПОЖАЛУЙСТА
НУЖНА ПОМОЩЬ!!!
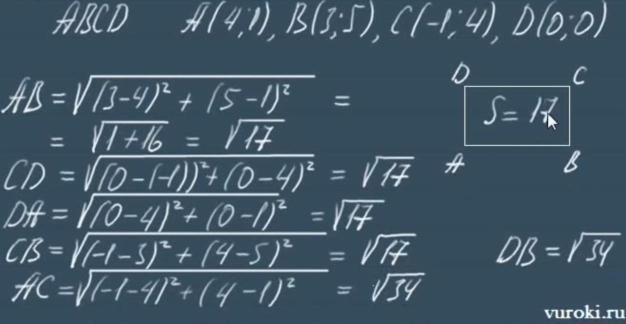
Постройте к задаче рисунок.
Заранее спасибо!!!!!
Приложения:

Ответы
Ответ дал:
1
Ответ:
Рисунок на фото. По линейке аккуратно начерти оси, нанеси точки на график (по клеточкам считай, первая цифра сколько по горизонтали считать, вторая по вертикали). И точки соедини линиями аккуратно по линейке, а не как я))
Приложения:

fhhcchhchc:
Спасибо огромное, выручили!!!!
Вас заинтересует
2 года назад
3 года назад
3 года назад
8 лет назад
8 лет назад
9 лет назад
9 лет назад