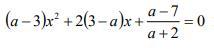
СРОЧНО ДАЮ 100 БАЛОВ
Найти сумму всех таких целых значений а, принадлежащих отрезку
[-2014;2015], при которых уравнение имеет
хотя бы один корень
Приложения:

Simba2017:
хотя бы один корень-значит дискриминант должен быть больше или равно 0
Ответы
Ответ дал:
3
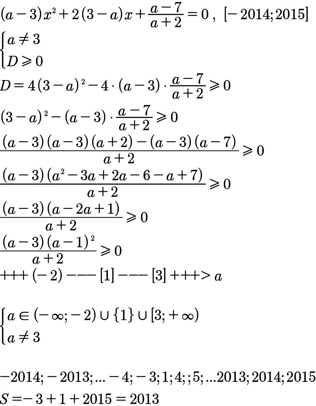
Ответ:
2013
Объяснение:
............................
Приложения:

Вас заинтересует
2 года назад
2 года назад
3 года назад
3 года назад
8 лет назад
9 лет назад
9 лет назад