• Предмет: Математика
  • Автор: polina359af
  • Вопрос задан 7 лет назад

помогите решить с объяснением
(не с фотомата пожалуйста) ​

Приложения:

Ответы

Ответ дал: 8286505
1

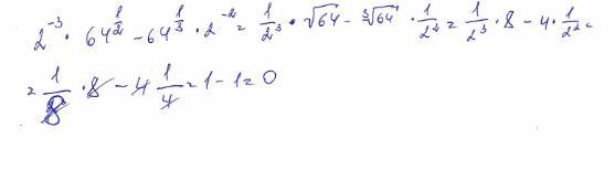
Ответ:

ответ во вложении

Пошаговое объяснение:

Приложения:
Вас заинтересует