• Предмет: Математика
  • Автор: regon598
  • Вопрос задан 7 лет назад

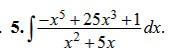
Найти интеграл......

Приложения:

Ответы

Ответ дал: zveryakovanata
0

Ответ: -x⁴/4+5x³/3 - 1/5 · ( ln|x+5| -ln x|)+C

Пошаговое объяснение:

∫(-x⁵+25x³+1)dx/(x²+5x) =-∫(x⁵-25x³)dx/x(x+5) + ∫1dx/x(x+5) =

=-∫x³(x²-25)dx/x(x+5) + ∫dx/x(x+5) =-∫x³(x-5)(x+5)dx/x(x+5) + ∫dx/x(x+5) =

= -∫x²(x-5)dx + ∫dx/x(x+5) =-∫(x³-5x²)dx + ∫dx/x(x+5) =-x⁴/4+5x³/3 + ∫dx/x(x+5)  

Вычислим отдельно  ∫dx/x(x+5) = ∫dx/x²(1+5/х) =

| пусть 1+5/х=t, тогда -5dx/х²=dt , dx= -5dt/x² | =-1/5 ·∫dt/t= -1/5 · ln|t| +C=

=  -1/5 · ln|1+5/x| +C = -1/5 · ln|(x+5)/x| +C= -1/5 · ( ln|x+5| -ln x|)+C

⇒ ∫(-x⁵+25x³+1)dx/(x²+5x)= -x⁴/4+5x³/3 - 1/5 · ( ln|x+5| -ln x|)+C

Вас заинтересует