• Предмет: Алгебра
  • Автор: delomilk
  • Вопрос задан 7 лет назад

решите пожалуйста СРОЧНО
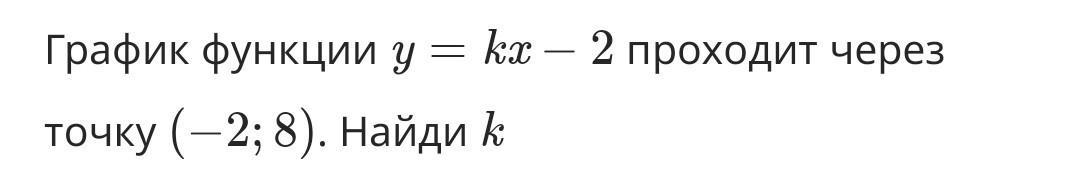
чему равен k? ​

Приложения:

Ответы

Ответ дал: artem007glushchenko
1

Ответ:

k=-5

Объяснение:

Подставим координаты в функцию, получим:

8 = -2k - 2

10 = -2k

k=-5

Вас заинтересует