• Предмет: Математика
  • Автор: ninakiampo
  • Вопрос задан 7 лет назад

Помогите пожалуйста дам 49 очков​

Приложения:

Ответы

Ответ дал: nercuk58
1

Ответ:

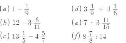
a) 8/9

b) 8 целых 5/11

с) 8 целых 17/35

d) 7 целых 11/18

e) 26 целых 2/15

f) 71/121

Пошаговое объяснение:

удачи если это самостоятельная или контрольная и вообще удачи


ninakiampo: СПАСИБО БОЛЬШОЕ СВЕТОЙ ЧЕЛОВЕК
Вас заинтересует