• Предмет: Алгебра
  • Автор: kartochkafri2128
  • Вопрос задан 7 лет назад

Помогите пожалуйста!!! срочно!!​

Приложения:

Ответы

Ответ дал: resentler
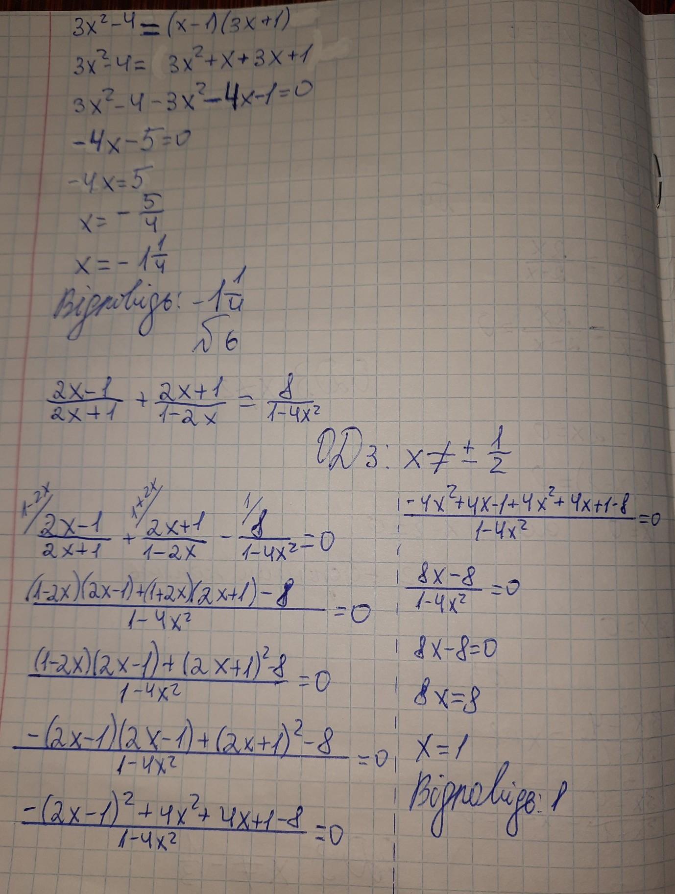
1

Ответ:

1.Г

2.А

3.Г

4.-х

5. -0,5

6. х=1

Удачи)

Объяснение:

Ответ дал: tvlemon4ik
0

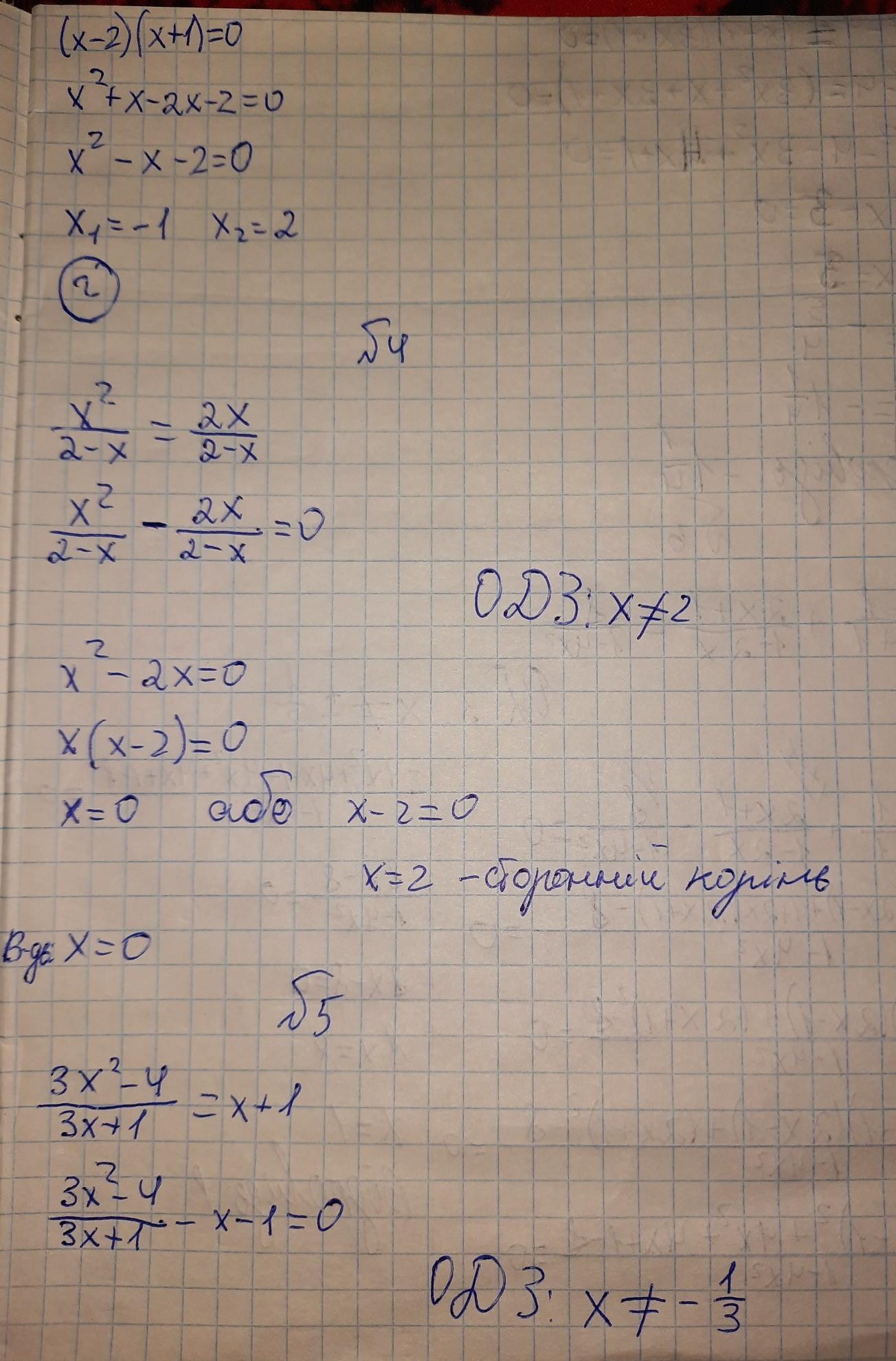
Ответ:

Ответ на прикрепленном фото

Приложения:
Вас заинтересует