Ответы
                                            Ответ дал: 
                                                                                            
                                                    
                                                
                                                                                    
                                        
                                            
                                                
                                                
                                                
                                                    1
                                                
                                            
                                        
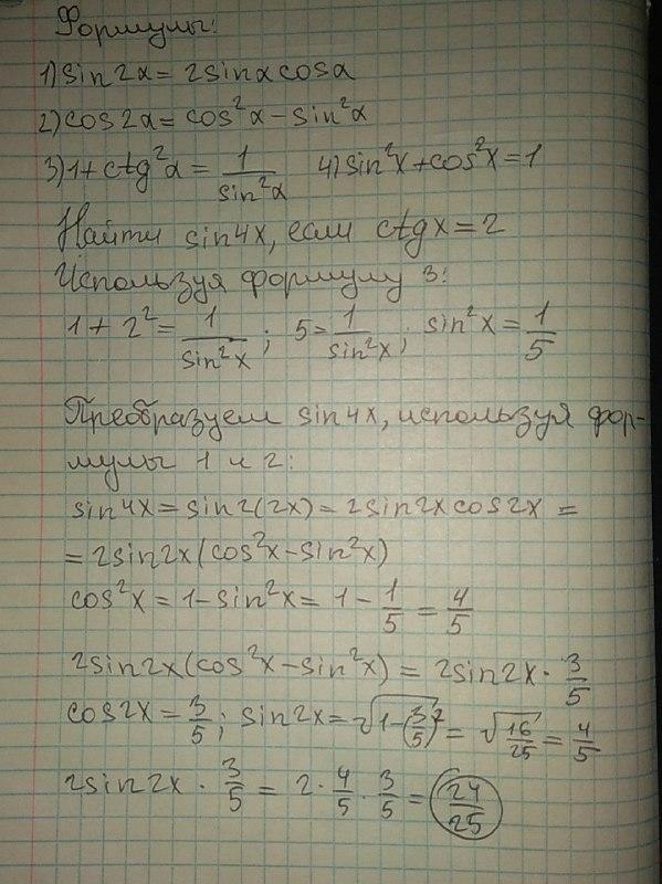
                                    Решение во вложении. Могу расписать еще подробнее, если нужно.
Приложения:
                     
                            
                    divanniy:
                    Скобка cos^2x - sin^2x и есть cos2x. 4/5 - 1/5 = 3/5
                
            
                    
                    А точно
                
            
                    
                    СПАСИБО БОЛЬШОЕ!!!
                
            
                    
                    а почему ,когда высчитывают sin2x=√1-cos^22x перед корнем не ставится +-?
                
            
                    
                    На самом деле, стоило это тоже написать.
Мы знаем, что cos2x положителен, ведь он равен cos^2x - sin^2x = 4/5 - 1/5 = 3/5.
Теперь нужно доказать, что sin2x тоже положителен.
ctgx = 2, значит cosx и sinx либо оба отрицательные, либо оба положительные.
            Мы знаем, что cos2x положителен, ведь он равен cos^2x - sin^2x = 4/5 - 1/5 = 3/5.
Теперь нужно доказать, что sin2x тоже положителен.
ctgx = 2, значит cosx и sinx либо оба отрицательные, либо оба положительные.
                    
                    1) sinx > 0 и cosx > 0. Тогда 0 < x < 180 и -90 < x < 90, пересечение получается 0 < x < 90. Значит 0 < 2x < 180, а на этом промежутке sin2x положителен.
2) sinx < 0 и cosx < 0. Тогда 180 < x < 360 и 90 < x < 270, пересечение получается 180 < x < 270. Значит 360 < 2x < 540, или же 0 < 2x < 180, ведь период равен 360 или 2П. sin2x положителен на этом промежутке.
            2) sinx < 0 и cosx < 0. Тогда 180 < x < 360 и 90 < x < 270, пересечение получается 180 < x < 270. Значит 360 < 2x < 540, или же 0 < 2x < 180, ведь период равен 360 или 2П. sin2x положителен на этом промежутке.
                    
                    sin2x положителен, cos2x положителен, значит их произведение тоже положительно, а 2 на знак не влияет. Значит cos4x тоже положителен.
                
            
                    
                    спасибо огромное
                
            
                    
                    помогите пожалуйста с физикой у меня
                
            
                    
                    в профиле
                
            Вас заинтересует
                
                        2 года назад
                    
                
                        2 года назад
                    
                
                        3 года назад
                    
                
                        8 лет назад
                    
                
                        8 лет назад
                    
                
                        9 лет назад