• Предмет: Математика
  • Автор: Аноним
  • Вопрос задан 7 лет назад

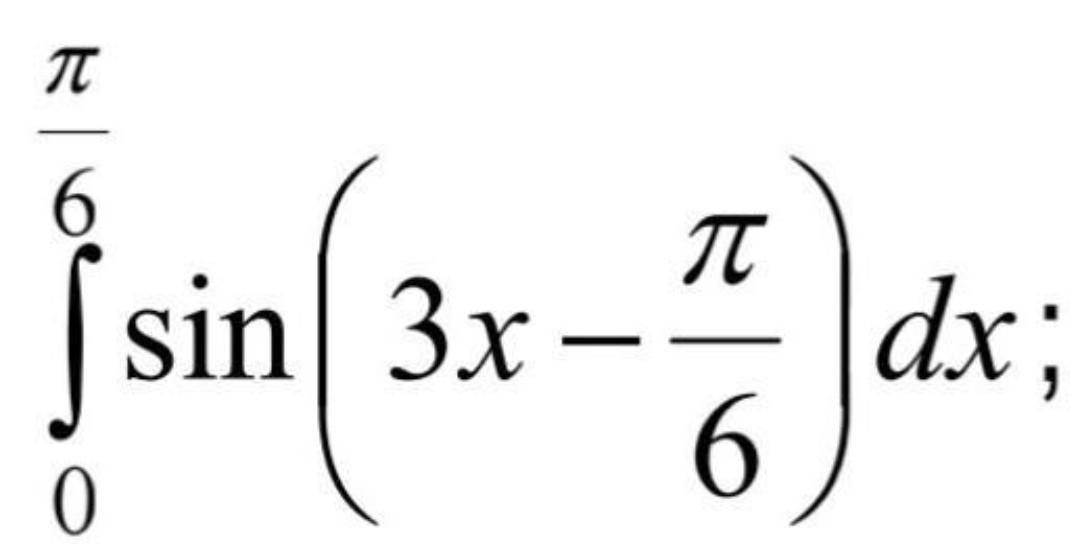
обчислити інтеграл.

Є ще одне завдання в профілі!!!!​

Приложения:

Ответы

Ответ дал: NNNLLL54
1

Ответ:

\displaystyle \int\limits^{\pi /6}_0\, sin\Big(3x-\frac{\pi}{6}\Big)\, dx=\Big[\ t=3x-\frac{\pi}{6}\ ,\ dt=3dx\ \Big]=\frac{1}{3}\int\limits_{-\pi /6}^{\pi /3}\, sint\, dt=\\\\\\=-\frac{1}{3}\cdot cost\, \Big|_{-\pi /6}^{\pi /3}=-\frac{1}{3}\cdot \Big(cos\frac{\pi}{3}-cos\frac{\pi}{6}\Big)=-\frac{1}{3}\cdot \Big(\frac{1}{2}-\frac{\sqrt3}{2}\Big)=\frac{\sqrt3-1}{6}

Вас заинтересует