• Предмет: Математика
  • Автор: zagorneydan
  • Вопрос задан 7 лет назад

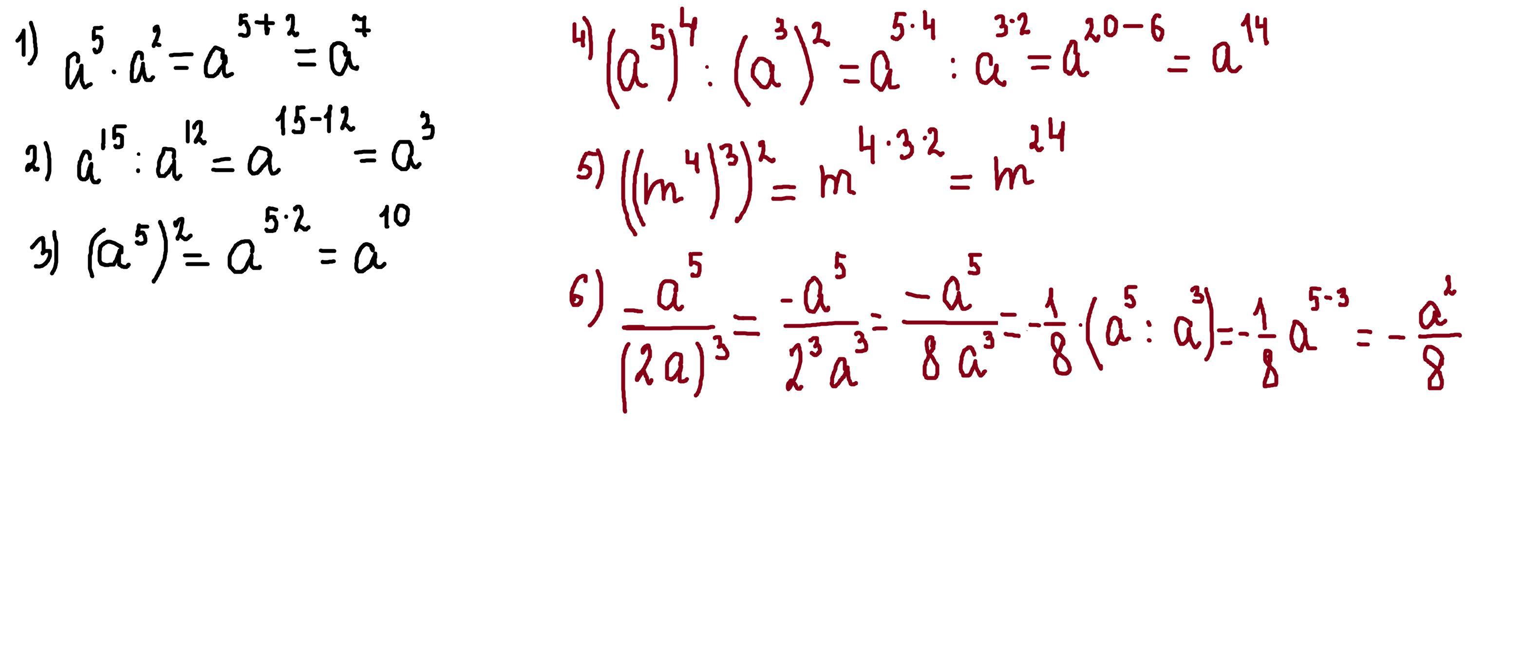
Помогите пожалуйста быстро (то что выделено красным скорее всего неправильно)

Приложения:

Ответы

Ответ дал: parus77
2

Ответ:

Пошаговое объяснение:

решение внизу

Приложения:
Ответ дал: rasulovmuxammadali3
0

Ответ:

Пошаговое объяснение:

Нехерна не понель

Вас заинтересует