• Предмет: Алгебра
  • Автор: apanteleev738
  • Вопрос задан 8 лет назад

срочно!!!!!!!!!!!!!!​

Приложения:

Ответы

Ответ дал: natali198112306
0

Ответ:

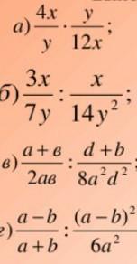
а. 1/3 б. 6у в. 4ad(a+b)|d+b г. 6a квадрат|a квадрат-b квадрат

Вас заинтересует