• Предмет: Математика
  • Автор: Аноним
  • Вопрос задан 8 лет назад

ДАЮ 100 БАЛЛОВ СДЕЛАТЬ НА ЛИСТОЧКЕ ЗАРАНИЕ СПАСИБО!!!

Приложения:

Ответы

Ответ дал: parus77
0

Ответ:

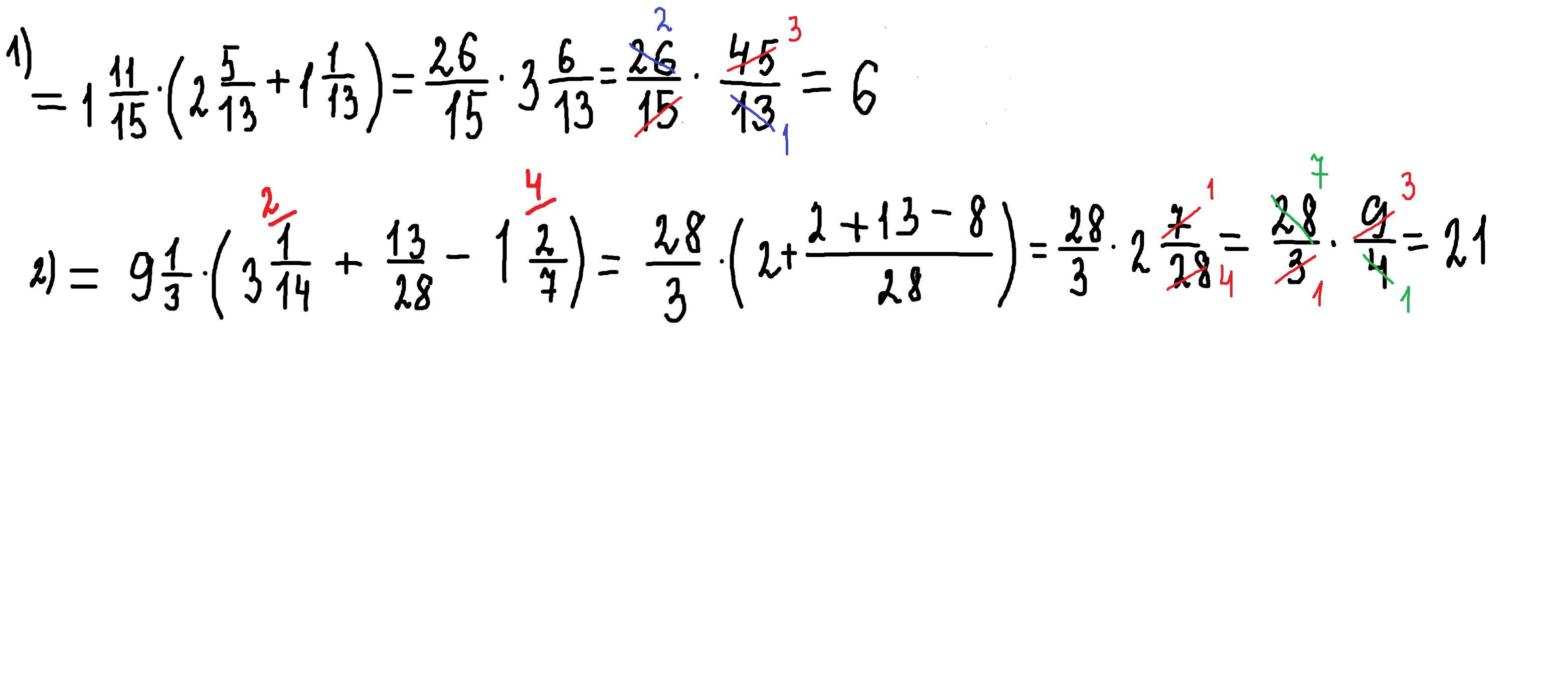
1)6 2)21

Пошаговое объяснение:

решение внизу

Приложения:
Ответ дал: Amogus171
0
1)6
2)21
(Фото почему-то неполучается прикрепить)
Вас заинтересует