Ответы
                                            Ответ дал: 
                                                                                            
                                                    
                                                
                                                                                    
                                        
                                            
                                                
                                                
                                                
                                                    1
                                                
                                            
                                        
                                    Ответ:
Пошаговое объяснение:
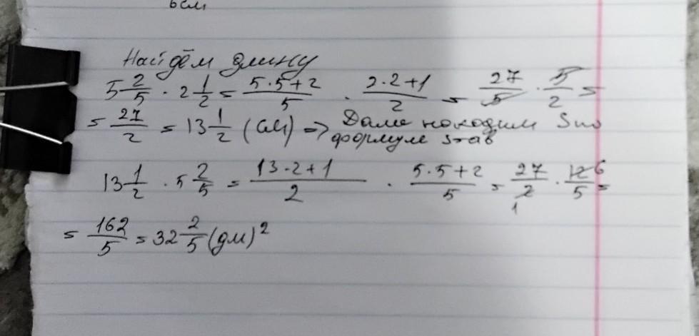
1) 5. 2/5 * 2. 1/2 = 27/5 * 5/2 = 27/2 = 13. 1/2 (дм) - длина
2) 5. 2/5 * 13. 1/2 = 27/5 * 27/2 = 729/10 = 72. 9/10 (дм²) - площадь
Ответ: 72. 9/10 дм²
                    lucyguy:
                    Спасибо большое
                
            
                    
                    Пожалуйста
                
            
                                            Ответ дал: 
                                                                                    
                                        
                                            
                                                
                                                
                                                
                                                    1
                                                
                                            
                                        
                                    Ответ:
..................................
Приложения:
                     
                            Вас заинтересует
                
                        2 года назад
                    
                
                        2 года назад
                    
                
                        3 года назад
                    
                
                        3 года назад
                    
                
                        8 лет назад
                    
                
                        9 лет назад
                    
                
                        9 лет назад
                    
                