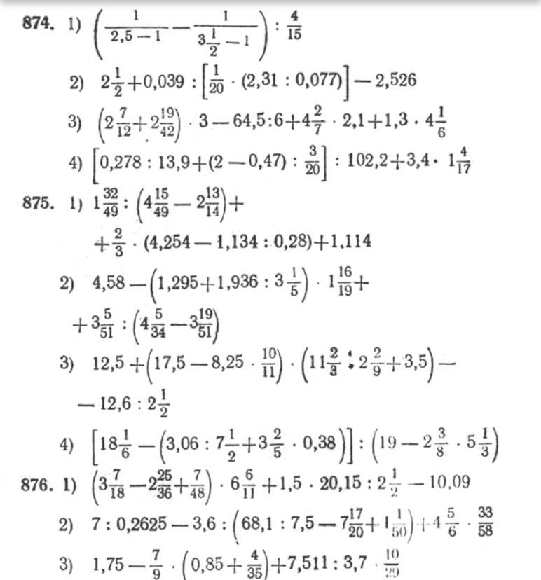
874. 1)
-
15
:
20
-
(2.一邊)
2) 2 +0.039 : : 2.31:0.07]-2,526
3) (2+2) 3—64,5:6+4ž 2,1+1,3.45
4) [(
[0,278 : 13,9+(2—0,47) :) : 102,2+3,4. 11
.
875.11 1 :( 4 一) +
+$. (4,254 - 1,134 : 0,28)+1.114
2) 4,58 – (1,295+1.936:35)
:33) 1
· 119+
20
16
-
:
.
1
33
38
TO
-
10
-
3) 12,5 +(17,5 – 8,25 D) - (113:23+3,5) -
– 12,6 : 2
4 [
1-(3.06:7 +3 -0.38]: (19-25)
876. 1) (378-2+) - 64 +1,5 - 20,15 : 2.5 – 10.09
2) 7:0,2625 – 3,6 : (68,1: 7,5—7%+) 145.5
3) 1,75 – 3 (0,85+3)+7,511:3,7 %
Lớ4) 16,7569 70,84 : 2,3-(2,025 – 8:15
877. 1) -24,57: 3,5+(3,35 21+5) . (225: 12,5 – 35. 2)
2) 28,14 : 3,5—(24. 0,24 – 5) . (5,45+13-6-3)
24.15: 2,3 — 3.6. (17,2 -0,125 —
25 - (
2-1)]+
42:
4) (1715. 3,6–0,476 : 14) : (0,009 - 8700 – 120 : 14) +-
878. 1) (8,6. -(59 - 4)]- (o: 2+1,34)
19
4
-
15
20
3)
.
1
+-0,306:0,3
Хотябы те 2 первые
Приложения:

Ответы
Ответ дал:
0
Ответ:
там первый обрезан.....
Ответ дал:
0
Да у меня такое чувство что там не только 1 обрезан?
Вас заинтересует
2 года назад
3 года назад
8 лет назад
8 лет назад