Помогите пожалуйста с алгеброй!!!!!!! Очень надо!!!!!!!!! Номер 10.2 11 КЛАСС!!!!!!! КТО ЗНАЕТ ОТВЕТ!!!!!!!!! ЗАРАНЕЕ СПАСИБО ЗА ПОМОЩЬ ПО АЛГЕБРЕ!!!!!!!!!
Приложения:

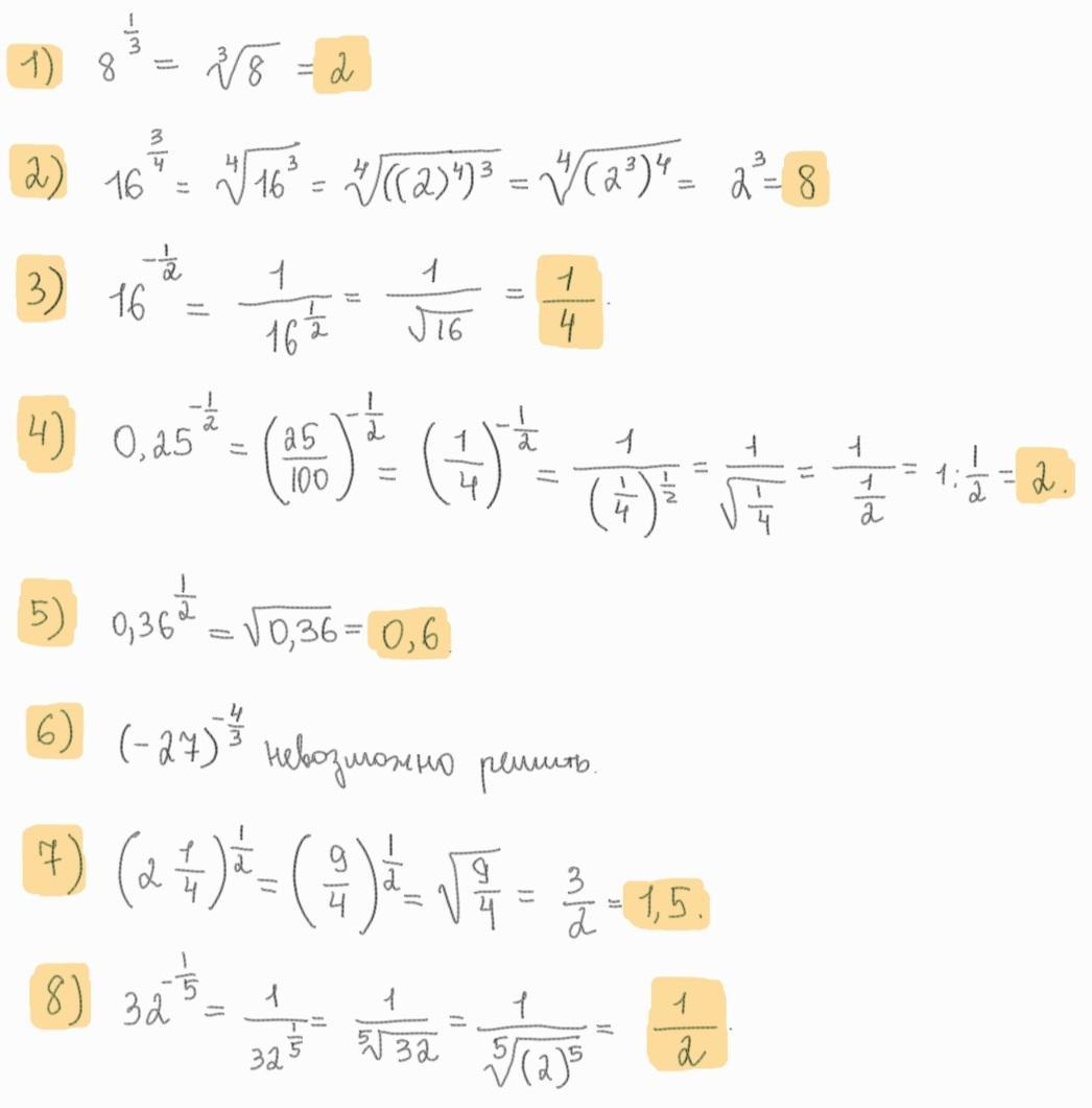
Ответы
Ответ дал:
2
~~~~~~~~~~~~~~~~~~~~
Приложения:

Аноним:
Здравствуйте вы не могли бы вы мне помочь с алгеброй пожалуйста умоляю
Вас заинтересует
2 года назад
2 года назад
3 года назад
8 лет назад
9 лет назад