• Предмет: Алгебра
  • Автор: tayserof
  • Вопрос задан 7 лет назад

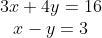
Решите систему уравнений методом подстановки. Запишите РЕШЕНИЕ и ОТВЕТ.

Приложения:

Ответы

Ответ дал: nastyamilena10
1

Объяснение:

3х+4у=16

х-у=3

3х+4у=16

х=3+у

3(3+у)+4у=16

9+3у+4у=16

7у= 7

у=1

х-1=3

х= 4

(4;1)


tayserof: Это метод подстановки?
nastyamilena10: да
tayserof: Спасибо!
Вас заинтересует