• Предмет: Математика
  • Автор: Аноним
  • Вопрос задан 8 лет назад

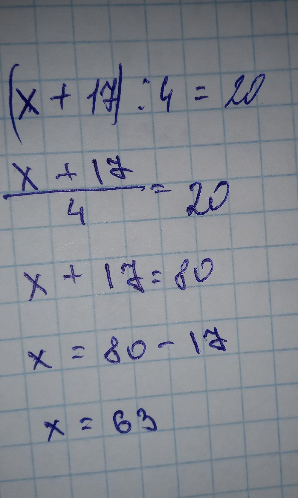
(x+17):4=20
Помогите​

Ответы

Ответ дал: alena13131313
0

Решение на фото

Ответ: X=63

Приложения:
Ответ дал: Elena3982
1

Пошаговое объяснение:

(х+17):4=20

х+17=20•4

х+17=80

х=80-17

х=63

(63+17):4=20

Вас заинтересует