• Предмет: Математика
  • Автор: pyzanovbogdan
  • Вопрос задан 7 лет назад

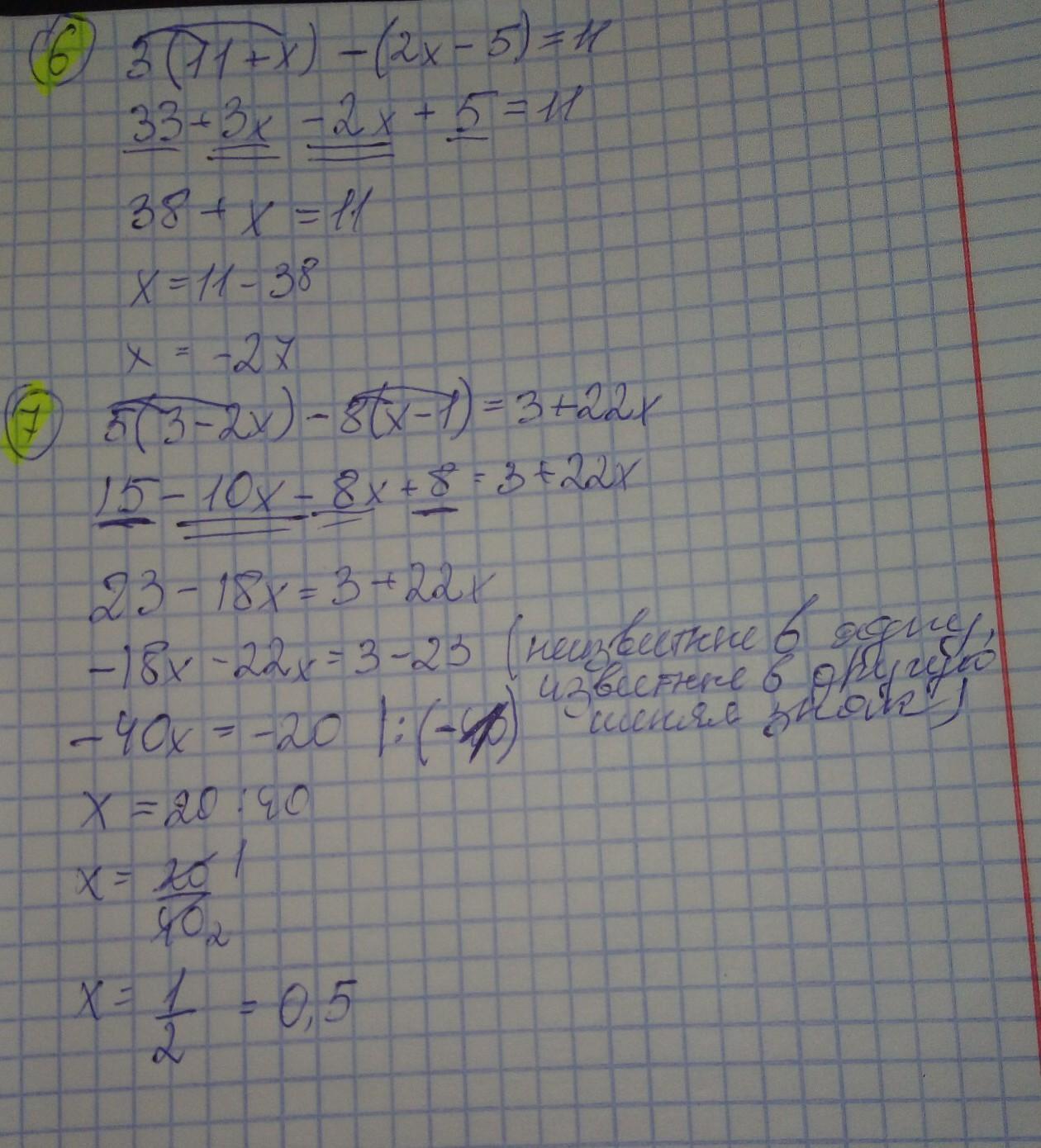
6) 3(11+x)-(2x-5) =11
7)5(3-2x) - 8(x-1) =3+22x
8)1+4x/3+8+x/2=7x/6+13/3

Приложения:

Rozali9A: можешь отметить мой ответ лучшим, если он тебе понравился, мне правда это нужно ❤️

Ответы

Ответ дал: Rozali9A
1

Все номера на фото :)) удачи тебе

Приложения:
Вас заинтересует