Начертите схемы предложений:
Только через неделю удалось, наконец, установить, что у кота разорвано ухо и отрублен кусок грязного хвоста.
Он их не съел , но на разрытую банку сбежались куры и склевали весь наш запас червей.
Мы ходили около них и ругались, но рыбная ловля всё равно была сорвана.
Почти месяц мы потратили на то, чтобы выследить рыжего кота.
Ответы
Ответ дал:
0
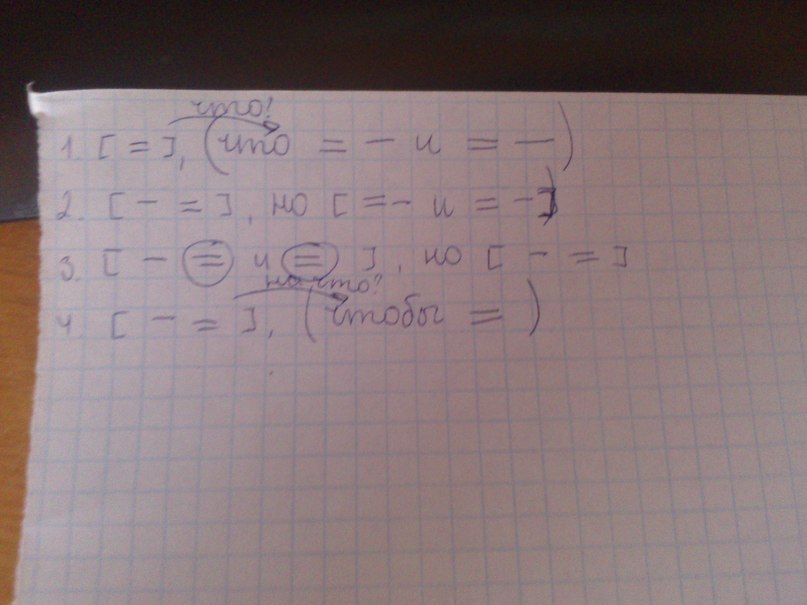
Вот, решила)) Должно быть так
Приложения:
Вас заинтересует
2 года назад
2 года назад
2 года назад
8 лет назад
9 лет назад