1. Що називається моментом інерції тіла?
2. Що називається моментом сили відносно нерухомої осі обертання?
3. Пояснити основне рівняння динаміки обертального руху твердого
тіла відносно нерухомої осі.
4. Вивести формулу для моменту інерції однорідного диску відносно його ґеометриченої осі.
5. За якими формулами обчислюється кінетична енерґія поступального і обертального рухів тіла?
6. У чому полягає закон збереження і перетворення енерґії?
Ответы
Ответ:
1. Моментом інерції твердого тіла щодо деякої площини називають скалярну величину, рівну сумі добутків маси кожної точки тіла на квадрат відстані від цієї точки до розглянутої площини.
2. Моментом сили щодо нерухомої осі z називається скалярна величина Mz, рівна проекції на цю вісь вектора M моменту сили, визначеного щодо довільної точки про дану осі z.
3. Основний закон динаміки для обертального руху твердого тіла навколо нерухомої осі записується у вигляді: M = I в i, де M-момент сили щодо осі; I — момент інерції тіла щодо осі; i — кутове прискорення.
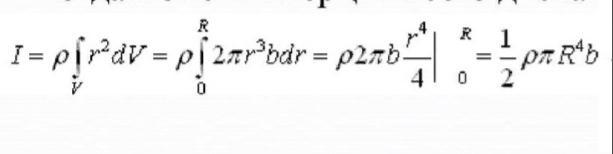
4. Від відносно осі z, що проходить через центр і перпендикулярно диску (циліндру). Знайдемо момент інерції однорідного диска масою т і товщиною b, щодо осі ОО'. Розіб'ємо диск на тонкі кільцеві шари товщиною dr, всі точки одного шару знаходяться на однаковій відстані r від осі.
Обсяг такого шару дорівнює: dV = 2xrbdr
Тоді момент інерції всього диска: на першій картинці.
5. На зображенні два.
6. Закон збереження і перетворення енергії-загальний закон природи, згідно з яким:
- Енергія будь-якої замкнутої системи при всіх процесах, що відбуваються в системі, залишається постійною.
- Енергія може тільки перетворюватися з однієї форми в іншу і перерозподілятися між частинами системи.

