• Предмет: Алгебра
  • Автор: Oookeey
  • Вопрос задан 7 лет назад

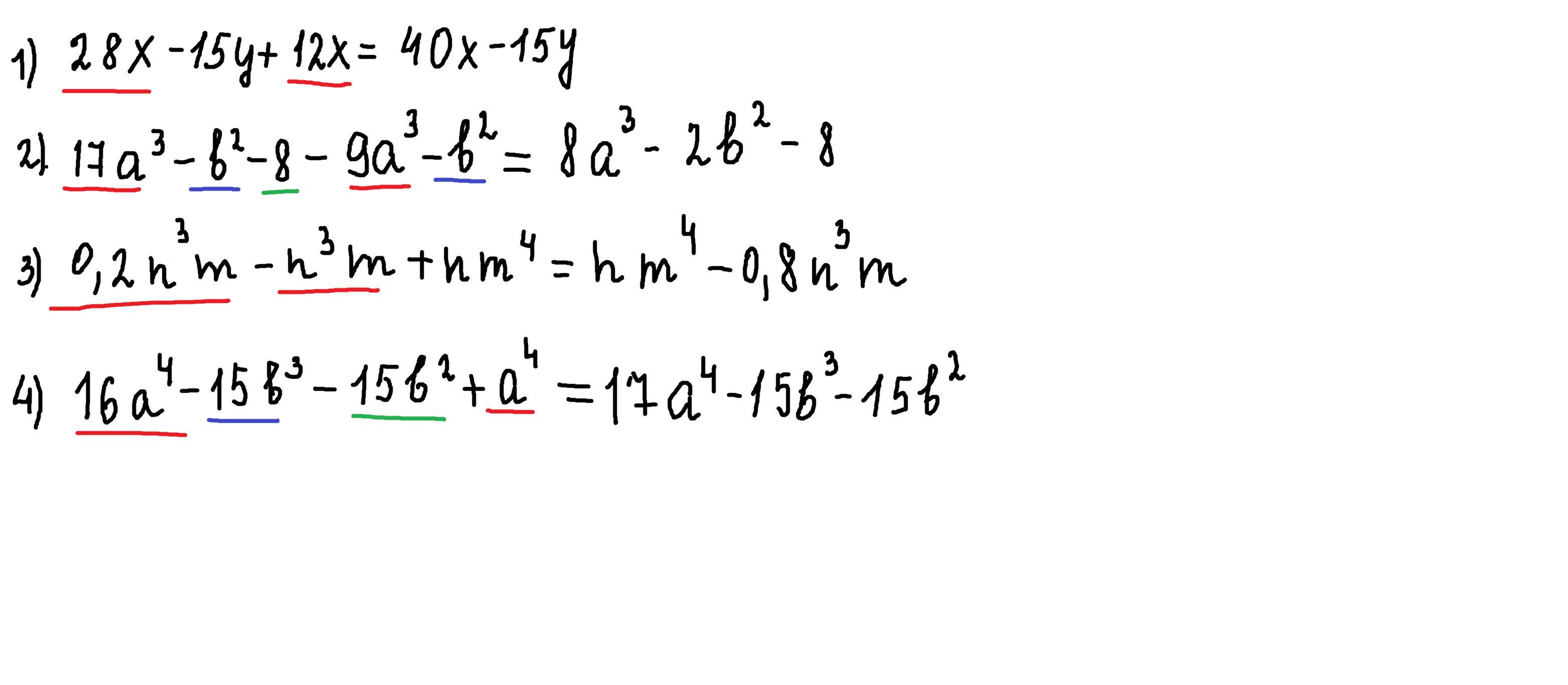
помогите пожалуйста: приведите многочлен к стандартному виду

Приложения:

Ответы

Ответ дал: parus77
1

Ответ:

Объяснение:

решение внизу

Приложения:

Oookeey: спасибо огромное выручили подписываюсь вам )
parus77: пожалуйста
Вас заинтересует