• Предмет: Алгебра
  • Автор: goshaabramov2000
  • Вопрос задан 8 лет назад

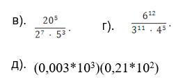
токо в, г, д, вот фото

Приложения:

Ответы

Ответ дал: asqarovkamronbek004
1

Ответ:

ответы: в) 200; г) 12; д) 63.

Объяснение:

надеюсь помогла если помогла поставьте лайк

Ответ дал: angelinaberezhnaya8
1

Ответ:

В) 200

Г)12

Д)63

Объяснение:

В) 20⁵/2⁷•5³=10⁵•2⁵/2⁷•5³=2⁵•5⁵/2²•5³=2³•5²=8•25=200

Г) 6¹²/3¹¹•4⁵=2¹²•3¹²=2²•3=4•3=12

Д) 0,003•10³•(0,21•100)=0,003•10³•21=0,063•10³=0,063•1000=63

Удачи!!

Вас заинтересует