• Предмет: Физика
  • Автор: vladseryogin2008
  • Вопрос задан 8 лет назад

Решения на физику пожалуйста

Приложения:

Ответы

Ответ дал: fizinformatik
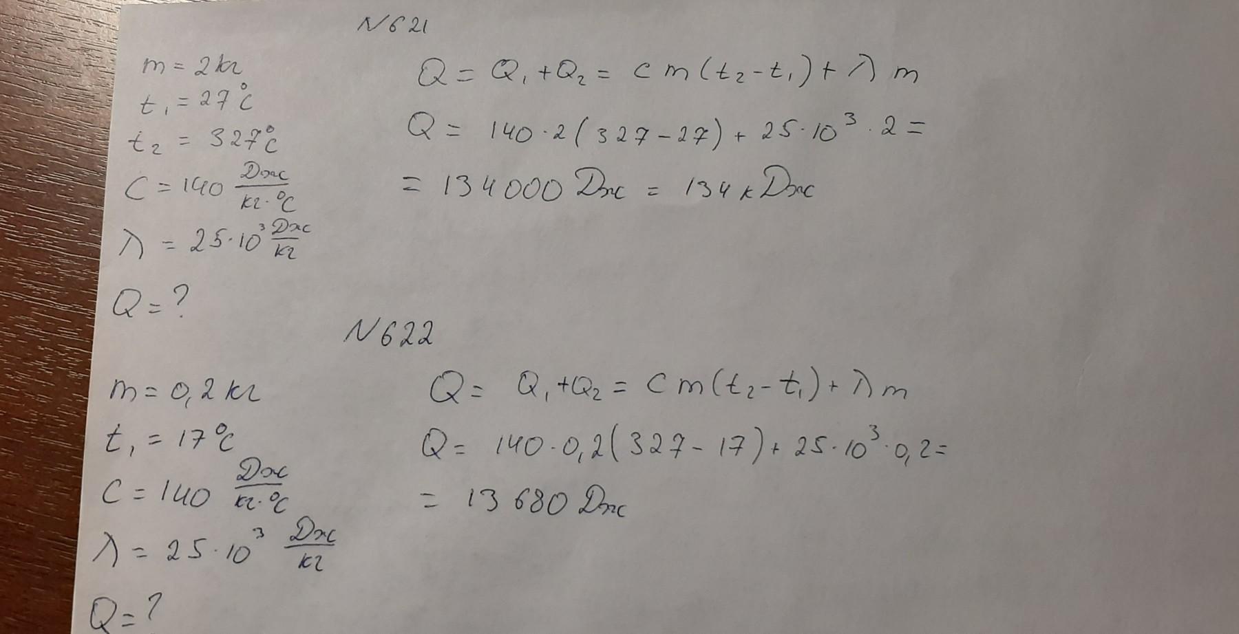
1

ответ: держи

пояснение:

Приложения:
Ответ дал: School877Max
0

Ответ: 6.21. Какое количество теплоты Q надо передать свинцовому бруску массой m = 2 кг, взятому при температуре t1 = 27°C, чтобы расплавить его?

Дано:

m = 2 кг

tн = 27°С

tплавл = 327°С

λсвинца = 24 * 10³ Дж/кг

Cсвинца = 130 Дж/кг

Найти:

Q = ?

Решение:

Q = Qн + Qп

Q = с * m * ∆t

Q = λ * m

Qн = Cсвинца * mсвинца (tплавл - tн)

Qплавл = λсвинца * mсвинца

Q = Cсвинца * mсвинца (tплавл - tн) + λсвинца * mсвинца

Q = 130 Дж/кг°С * 2 кг (327°С – 27°С) + 24 * 106 Дж/кг * 2 кг = 126 000 Дж = 126 кДж

Ответ: Для расплавления свинцового бруска массой 2 килограмма, взятого при температуре t1 = 27°C, необходимо передать 126 килоджоулей теплоты

6.22. Какое количество теплоты потребуется для плавления свинца массой 200 г, взятого при температуре 17 °С

Дано:

m = 200 г = 0,2 кг

tн = 17°С

tплав = 327°С

λсвинца = 24 * 10³ Дж/кг

Cсвинца = 130 Дж/кг °С

Найти:

Q = ?

Решение:

Q = Qн + Qплавл

Q = С * m * ∆t  

Q = λ * m

Qн = Ссвинца * mсвинца (tн - tплавл)

Qн = λсвинца * mсвинца

Q = Cсвинца * mсвинца (tплавления – tначальная) + λсвинца * mсвинца

Q = 130 Дж/кг °С * 0,2 кг * (327°С – 27°С) + 24 * 103 Дж/кг * 0,2 кг = 12 860 Дж = 13 кДж

Ответ: Для плавления свинца массой 200 г, взятого при температуре 17°С потребуется 13 килоджоулей теплоты.

6.23. Сколько меди, имеющей температуру 23°С, можно расплавить, сообщив ей количество теплоты 970 кДж?

Дано:

tн = 23°С

Q = 970 кДж = 97 * 10⁴ Дж

Cмеди = 380 Дж/кг°С

λмеди = 205 * 10³ Дж/кг

tплавл = 1083°С

Найти:

m = ?

Решение:

Q = Qн + Qп

Q = C * m * ∆t

Q = λ * m

Qн = Смеди * mмеди * (tплавл – tн)

Q = λмеди * mмеди

Q = Смеди * mмеди (tплавл - tн) + λмеди * m = m (Cмеди (tплавл – tн) + λмеди)

m = Q / Смеди (tплавл - tн) + λмеди = 97 * 104 Дж / 380 Дж/кг°С * (1083°С – 23°С) + 205 * 103 Дж/кг

m = 1,6 кг

Ответ: Для расплавления меди, сообщив ей количество теплоты 970 кДж и имеющей температуру 23°С, потребуется 1,6 килограмма

6.25. Кусок льда массой 2 кг имеет температуру -5°С. Какое количество теплоты необходимо ему передать, чтобы превратить лёд в воду, имеющую температуру 20°С.

Дано:

mльда = 2 кг

tльда = -5°С  

tплавл = 0°С

tк = 20°С

Cльда = 2 100 Дж/кг°С

Cводы = 4 200 Дж/кг°С

λльда = 330 * 103 Дж/кг

Найти:

Q = ?

Решение:

Q = Qльда + Qплавл + Qв

Qльда = Cльда * mльда * ∆t

Q = λ * m

Qльда = Сльда * mльда (tплавл - tл)

Qплавл = λльда * mльда

Qв = Своды * mльда (tк – tплавл)

Q = Сльда * mльда (tплавл – tльда) + λльда * mльда + Своды * mльда (tк – tплавл)

Q = mльда (Сльда (tплавл – tльда) + λльда + Cводы (tк – tплавл))

Q = 2 кг (2 100 Дж/кг°С (0°С – (-5°С)) + 330 * 103 Дж/кг + 4 200 Дж/кг°С (20°С – 0°С) = 849 000 Дж = 0,85 МДж

Ответ: Для превращения куска льда массой 2 кг, имеющего температуру -5°С, в воду, имеющую температуру 20°С, необходимо передать 0,85 мегаджоулей теплоты.

Вас заинтересует