• Предмет: Алгебра
  • Автор: mariamgrigoryan458
  • Вопрос задан 8 лет назад

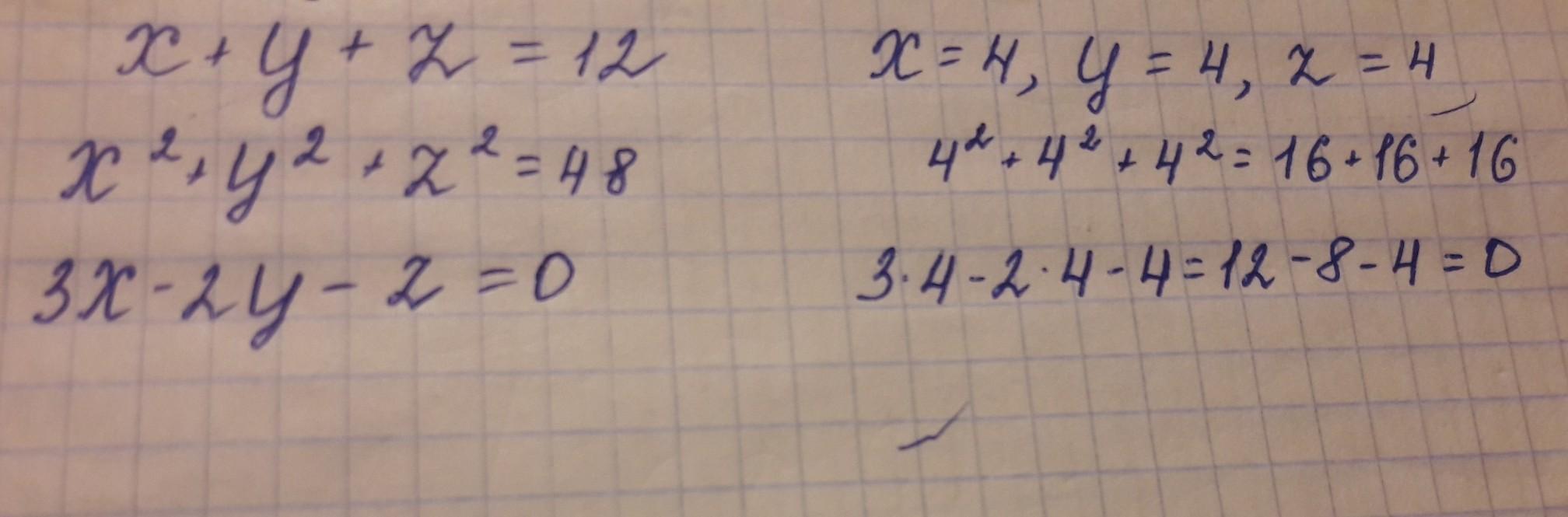
x + y + z = 12
x² + y² + z² = 48
3x - 2y -z = ?
как это решить ? Пожалуйста объясните . Буду очень благодарна .​​

Ответы

Ответ дал: goonnata19
1

Ответ:

0

Объяснение:

х,у,z=12:3=4

далее все на фото

Приложения:

goonnata19: если что-то не понятно-спрашивай)
mariamgrigoryan458: всё понятно , я очень благодарна
Вас заинтересует