• Предмет: Математика
  • Автор: inna1love1
  • Вопрос задан 7 лет назад

розв'яжіть рівняння!!!!!​

Приложения:

Ответы

Ответ дал: Аноним
1

Ответ:

Пошаговое объяснение:

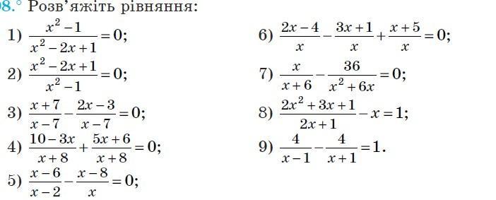
1) (x²-1)/(x²-2x+1)=0

x²-1=0; x²=1; x=±√1; x₁=-1; x₂=1

x²-2x+1≠0; x²-x-x+1≠0; x(x-1)-(x-1)≠0; (x-1)²≠0; x-1≠0; x₃≠1

Ответ: -1.

2) (x²-2x+1)/(x²-1)=0

x²-2x+1=0; D=4-4=0

x₁=2/2=1

x²-1≠0; x²≠1; x≠±√1; x₂≠-1; x₃≠1

Ответ: решений нет.

3) (x+7)/(x-7) -(2x-3)/(x-7)=0

(x+7-2x+3)/(x-7)=0

(10-x)/(x-7)=0; x-7≠0; x≠7

10-x=0; x=10

Ответ: 10.

4) (10-3x)/(x+8) +(5x+6)/(x+8)=0

(10-3x+5x+6)/(x+8)=0

(2x+16)/(x+8)=0

(2(x+8))/(x+8)=0

2≠0

Ответ: решений нет.

5) (x-6)/(x-2) -(x-8)/x=0

(x(x-6)-(x-8)(x-2))/(x(x-2))=0

(x²-6x-x²+2x+8x-16)/(x(x-2))=0

(4x-16)/(x(x-2))=0

(4(x-4))/(x(x-2))=0; x₁≠0; x-2≠0; x₂≠2

x-4=0; x₃=4

Ответ: 4.

6) (2x-4)/x -(3x+1)/x +(x+5)/x=0

(2x-4-3x-1+x+5)/x=0

0/x=0; x≠0

x∈(-∞; 0)∪(0; +∞).

7) x/(x+6) -36/(x²+6x)=0

x/(x+6) -36/(x(x+6))=0

(x²-36)/(x(x+6))=0

((x-6)(x+6))/(x(x+6))=0

(x-6)/x=0; x₁≠0

x-6=0; x₂=6

Ответ: 6.

8) (2x²+3x+1)/(2x+1) -x=1

(2x²+3x+1)/(2x+1) -x-1=0

(2x²+3x+1)/(2x+1) -(x+1)(2x+1)/(2x+1)=0

(2x²+3x+1-2x²-x-2x-1)/(2x+1)=0

0/(2x+1)=0

2x+1≠0; 2x≠-1; x≠-1/2; x≠-0,5

x∈(-∞; -0,5)∪(-0,5; +∞)

9) 4/(x-1) -4/(x+1)=1

(4(x+1))/((x-1)(x+1)) -(4(x-1))/((x-1)(x+1)) -1=0

(4(x+1)-4(x-1)-(x-1)(x+1))/((x-1)(x+1))=0

(4x+4-4x+4-x²-x+x+1)/(x²-1)=0

(9-x²)/(x²-1)=0; x²-1≠0; x²≠1; x≠±√1; x₁≠-1; x₂≠1

9-x²=0; x²=9; x=±√9; x₃=-3; x₄=3

Ответ: -3; 3.

Вас заинтересует