Ответы
Ответ дал:
0
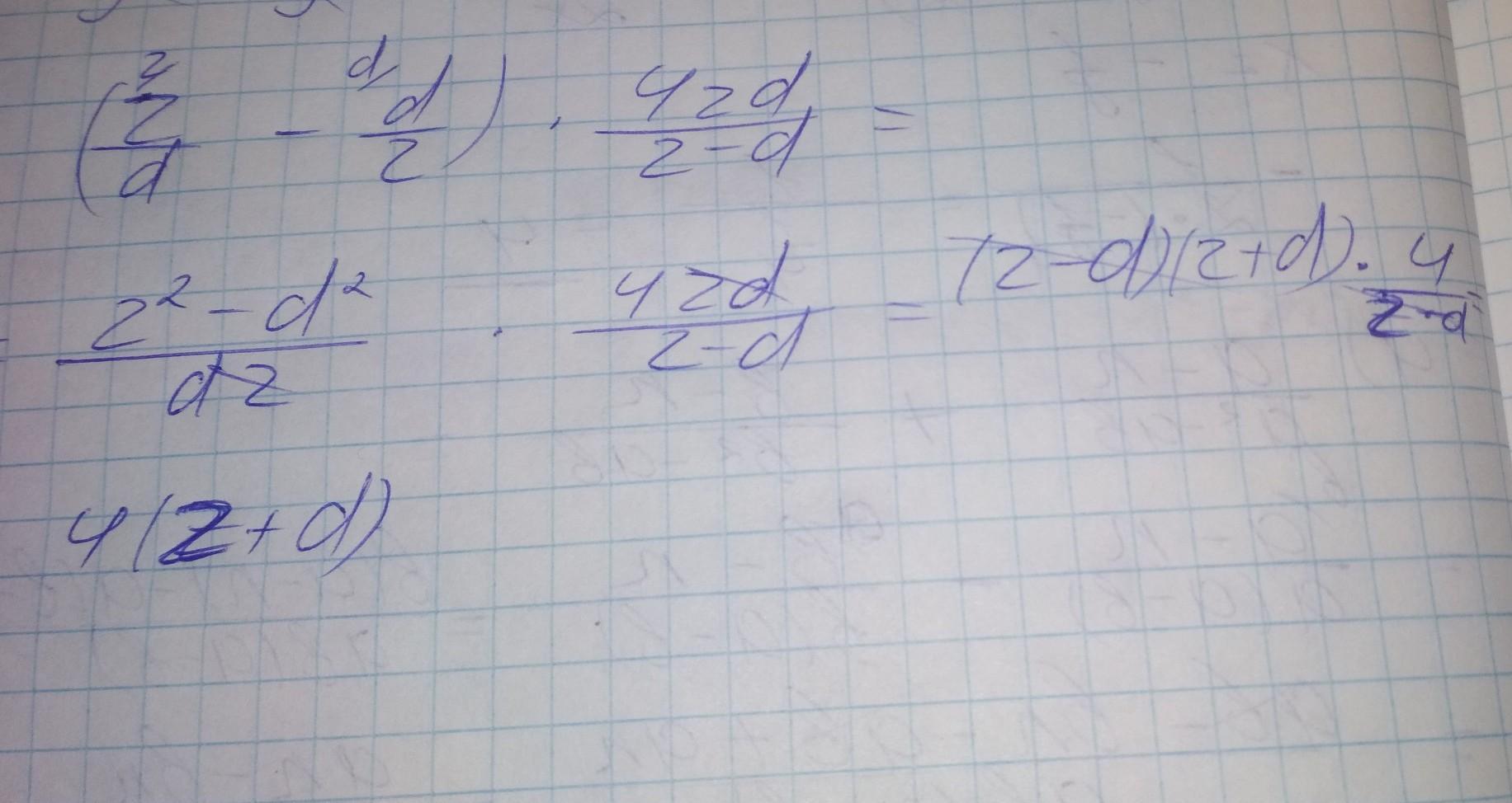
Ответ:
4(z+d)
Пошаговое объяснение:
.....................
Приложения:

Вас заинтересует
2 года назад
2 года назад
3 года назад
3 года назад
8 лет назад
8 лет назад
9 лет назад