• Предмет: Алгебра
  • Автор: Аноним
  • Вопрос задан 7 лет назад

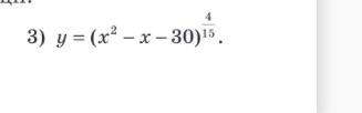
Область визначення пожалуйста срочно

Приложения:

Ответы

Ответ дал: pilipenkoveronika63
1

Ответ:

надеюсь правильно объяснил

Приложения:

Аноним: Можно вашу страницу в Инстаграмм
Аноним: я на вас подпишусь
pilipenkoveronika63: devotska_voyna
Вас заинтересует