Ответы
Ответ дал:
1
Ответ:
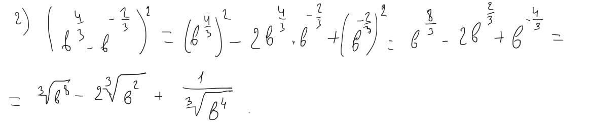
если второе b в степени -2/3, то так
Объяснение:
Приложения:

Вас заинтересует
2 года назад
2 года назад
3 года назад
3 года назад
8 лет назад
8 лет назад