• Предмет: Математика
  • Автор: danya7171
  • Вопрос задан 8 лет назад

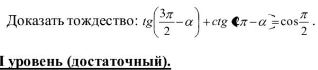
Докажите тождество. СРОЧНО НАДО

Приложения:

Ответы

Ответ дал: kapysva
2

Ответ:

в условии не очень понятно написано, поэтому вот для двух случаев

Приложения:
Вас заинтересует