здравствуйте нужна помощь по решению задачки по математическому анализу буду очень рад любой вашей помощи
Приложения:

divanniy:
Что нужно найти?
Ответы
Ответ дал:
1
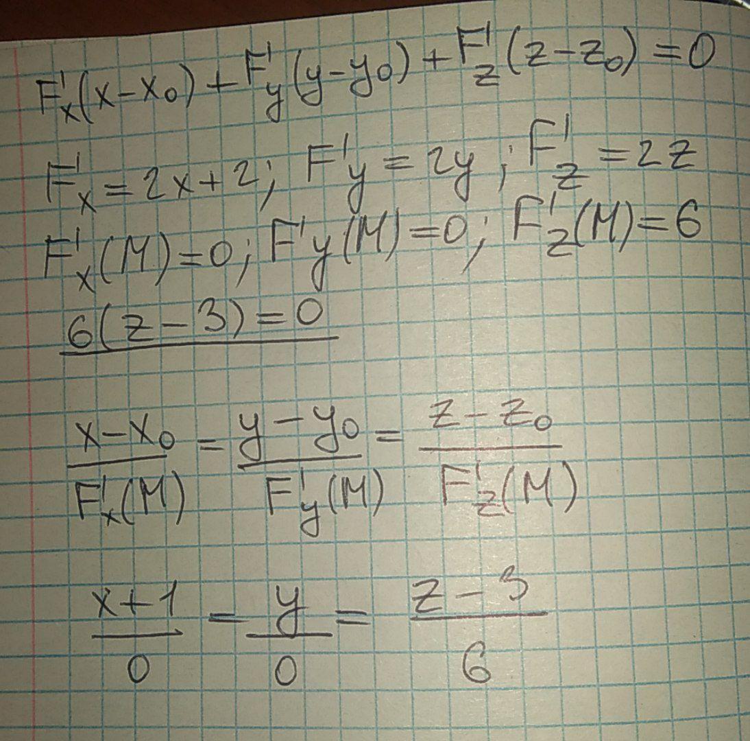
Решение во вложении. Могу дополнить, если нужно подробнее.
Четвертая строка, подчеркнутое - уравнение касательной плоскости
Последняя строка - уравнение нормали
Приложения:

Вас заинтересует
2 года назад
3 года назад
8 лет назад
8 лет назад
9 лет назад