• Предмет: Алгебра
  • Автор: erganvstavai60ghz
  • Вопрос задан 8 лет назад

помогите по братски ​

Приложения:

Ответы

Ответ дал: MatemaT123
0

Ответ:

1=1

Объяснение:

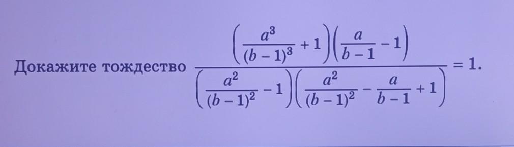
\dfrac{\bigg (\dfrac{a^{3}}{(b-1)^{3}}+1 \bigg ) \bigg (\dfrac{a}{b-1}-1 \bigg )}{\bigg (\dfrac{a^{2}}{(b-1)^{2}}-1 \bigg ) \bigg (\dfrac{a^{2}}{(b-1)^{2}}-\dfrac{a}{b-1}+1 \bigg )}=1;

\dfrac{\bigg ( \bigg (\dfrac{a}{b-1} \bigg )^{3}+1^{3} \bigg ) \bigg (\dfrac{a}{b-1}-1 \bigg )}{\bigg ( \bigg (\dfrac{a}{b-1} \bigg )^{2}-1^{2} \bigg ) \bigg ( \bigg (\dfrac{a}{b-1} \bigg )^{2}-\dfrac{a}{b-1}+1 \bigg )}=1;

\dfrac{\bigg (\dfrac{a}{b-1}+1 \bigg ) \bigg ( \bigg (\dfrac{a}{b-1} \bigg )^{2}-\dfrac{a}{b-1} \cdot 1+1^{2} \bigg ) \bigg (\dfrac{a}{b-1}-1 \bigg )}{\bigg (\dfrac{a}{b-1}+1 \bigg ) \bigg (\dfrac{a}{b-1}-1 \bigg ) \bigg ( \bigg (\dfrac{a}{b-1} \bigg )^{2}-\dfrac{a}{b-1}+1 \bigg )}=1;

\dfrac{\bigg (\dfrac{a}{b-1} \bigg )^{2}-\dfrac{a}{b-1}+1}{\bigg (\dfrac{a}{b-1} \bigg )^{2}-\dfrac{a}{b-1}+1}=1;

1=1;

Вас заинтересует