Ответы
Ответ дал:
1
Вложение фото решения, ответа.
Приложения:

Ответ дал:
0
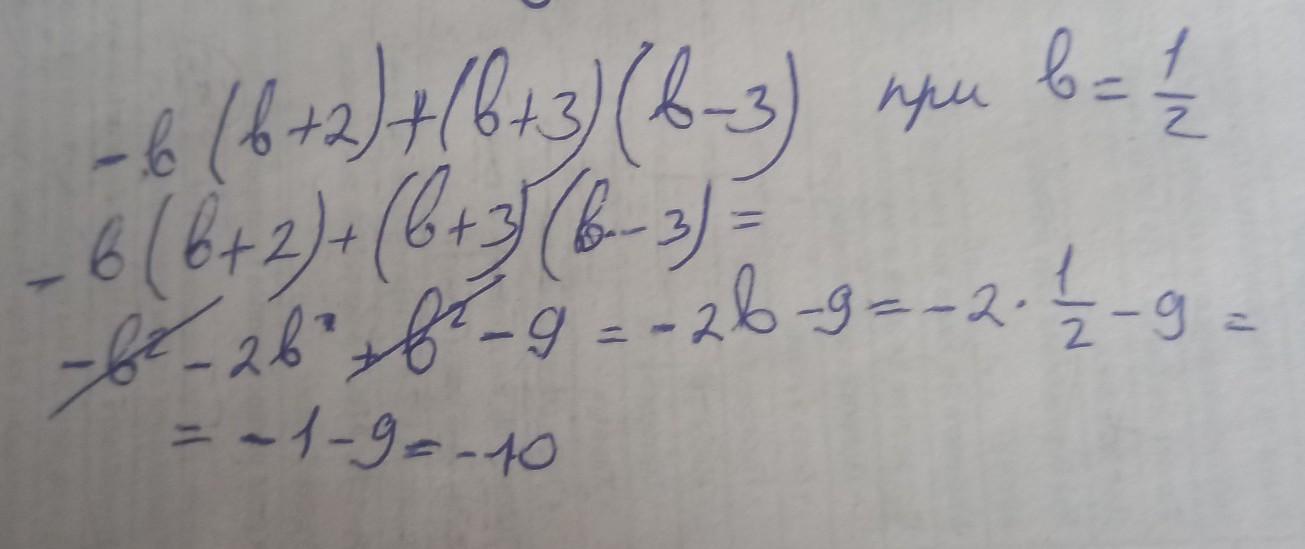
Ответ: -10.
Объяснение:
найдите значение выражений
-b(b+2) + (b+3)(b-3) =-b²-2b+b²-9=-2b-9;
при b=1/2=>-2*1/2-9=-1-9=-10.
Вас заинтересует
2 года назад
3 года назад
3 года назад
8 лет назад
9 лет назад