Ответы
Ответ дал:
1
Ответ:
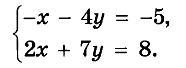
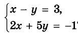
1)x=1 y=1
2) не мог решить так как вы не сфоткали нормально(2x+5y=?)
3)x=-3 y=2
Объяснение:
во всех случаях использован метод сложение
Приложения:


begzadkenesbaev:
можно как лучший ответ если есть возможность
Вас заинтересует
2 года назад
3 года назад
3 года назад
8 лет назад
8 лет назад
9 лет назад