• Предмет: Математика
  • Автор: Vikach2014
  • Вопрос задан 7 лет назад

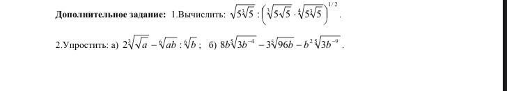
1. Вычислить
2. Упростить

Приложения:

Ответы

Ответ дал: rimamo134
1

Ответ:в прикреплённом файле

Пошаговое объяснение:

Приложения:
Вас заинтересует