• Предмет: Алгебра
  • Автор: anik200579
  • Вопрос задан 7 лет назад

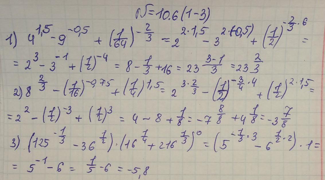
помогите пожалуйста 10.6(1-3)​

Приложения:

Ответы

Ответ дал: anyutik15
1

Ответ:

подробное решение на фото, если непонятно, то спрашивай

Приложения:

anik200579: спасибо люблю тебя
anyutik15: пожалуйста люблю тебя
anik200579: серьёзно
anyutik15: да
anik200579: а ты другим людям помогаешь
anyutik15: нет
Вас заинтересует