• Предмет: Алгебра
  • Автор: ikromshanhok
  • Вопрос задан 7 лет назад

помогите пожалуйста!!​

Приложения:

coc580099: что за учебник(автор) и какой номер?
coc580099: ауууу мэн

Ответы

Ответ дал: mlanshychumakov
0

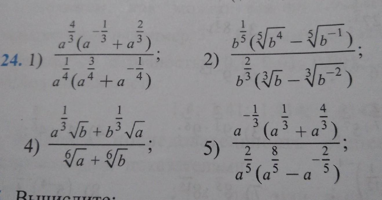
1) \frac{a {}^{ \frac{4}{3} }(a {}^{ \frac{1}{3}  }   + a {}^{ \frac{2}{4} } )}{a  {}^{ \frac{1}{4} } (a {}^{ \frac{3}{4} } + a   {}^{  - \frac{1}{4} }   }  = a \frac{13}{12}  \times  \frac{(a  {}^{ \frac{1}{3}  }   + a {}^{ \frac{2}{3} }  )}{a  {}^{ \frac{3}{4} }  + a {}^{ -  \frac{1}{4} } }  =  \frac{a  {}^{ \frac{17}{12} } + a   {}^{ \frac{7}{4} }   }{a {}^{ \frac{3}{4} } +  \frac{1}{a  {}^{ \frac{1}{4} }  }  }  =  \frac{a   {}^{ \frac{17}{12} }  + a  {}^{ \frac{7}{4} }   }{ \frac{a + 1}{ a {}^{ \frac{1}{4} }  } }  =  \frac{(a  {}^{ \frac{17}{12}  } + a {}^{ \frac{7}{4} } a {}^{ \frac{1}{4} }  ) }{a + 1}  =  \frac{a  {}^{ \frac{5}{3} }  + a {}^{2}  }{a + 1}  =  \frac{ \sqrt[3]{a {}^{5}  }  + a {}^{2} }{a + 1}  =  \frac{a \sqrt[3]{a {}^{2} }  + a {}^{2} }{a + 1}

Вас заинтересует