• Предмет: Математика
  • Автор: swaqw
  • Вопрос задан 8 лет назад

Помогите пожалуйста!!!!!!! Срочно!!!!!​

Приложения:

Ответы

Ответ дал: resentler
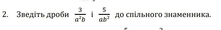
1

Ответ:

Чтобы общий был знаменатель, нужно превую дробь умножить на b, а вторую дробь - на а. Получится общий знаменатель а2б2

Удачи!)

Пошаговое объяснение:


swaqw: Спасибочки
Вас заинтересует