• Предмет: Математика
  • Автор: margaritapetrovskaya
  • Вопрос задан 7 лет назад

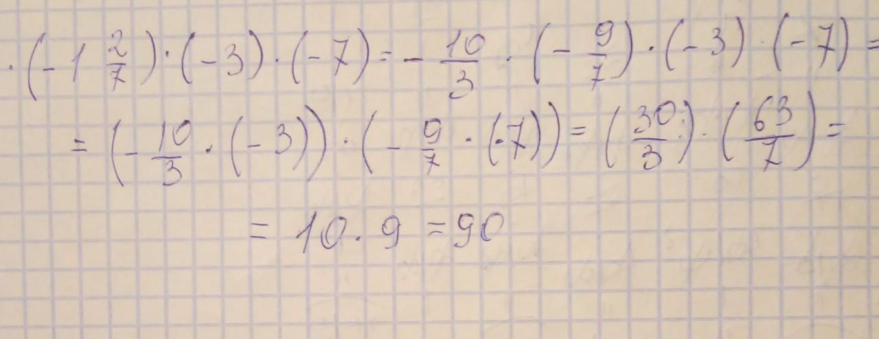
-3 1/3 *( -1 2/7)*(-3)* (-7)=
срочно решите рационально
решение нужно
срочно дам 20 б

Ответы

Ответ дал: iramazurk
1

Ответ:

Пошаговое объяснение:

= -10/3 * (-9/7) * (-3) * (-7) =

(-10/3 * (-3) ) * (-9/7 * (-7) ) = (30/3) * (63/7) = 10 * 9 = 90


margaritapetrovskaya: спасибо
iramazurk: Пожалуйста
Ответ дал: Rozali9A
0

На фото..............

Приложения:
Вас заинтересует