• Предмет: Алгебра
  • Автор: gluevgenia13
  • Вопрос задан 8 лет назад

Помогите пожалуйста,7 класс алгебра

Приложения:

Ответы

Ответ дал: SmileTnT
1

Ответ:

Тождество доказано

Объяснение:

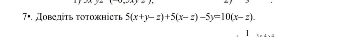
5 (x + y + z) + 5 (x - z) - 5y = 10 (x - z)

5x + 5y + 5z + 5x - 5z - 5y = 10x - 10z

10x - 10z = 10x - 10z

доказано

Вас заинтересует