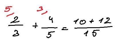
2/3 + 4/5 в общем знаменателе

Ответы
Ответ:
Фото
Пошаговое объяснение:

Пошаговое объяснение:
Надо первести к общем знаменателям
Тоесть періий дробь умножить на 5
вторую дробь умножеть на 3
(умножай и числитель и знаменательи (тоесть дробь это делени емеющее способность: при умножении и делении лубого числа кроме нуля делимое и делитель то они будут равни(поексперементируй по поводу этого)))
Прибовлять дроби можно тольк тогда когда они с одинаковим знаменателем.
Когда пербовляешь то знаменатель оставляй без изменеий (знаменатель указивает натона сколько частей пделено напримет яблоко), а огда числители о их пребавь (чеслитель указивает на то скалько частей мы взяли у яблока например: одна девятая, из етого яблока взяли одну девятою часть тоесть яблоко розделено на 9 чястей, а взяли 1 часть)
Удачи тебе в учёбе!!!)))))