• Предмет: Математика
  • Автор: liladr
  • Вопрос задан 7 лет назад

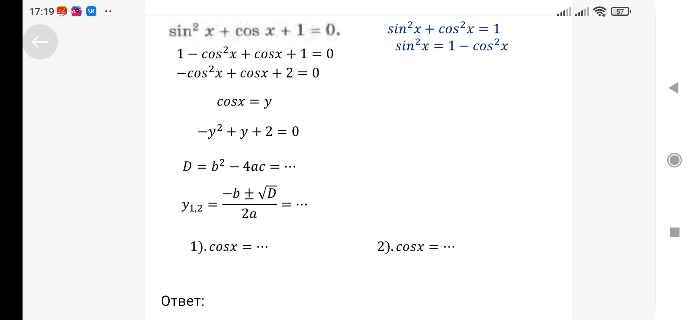
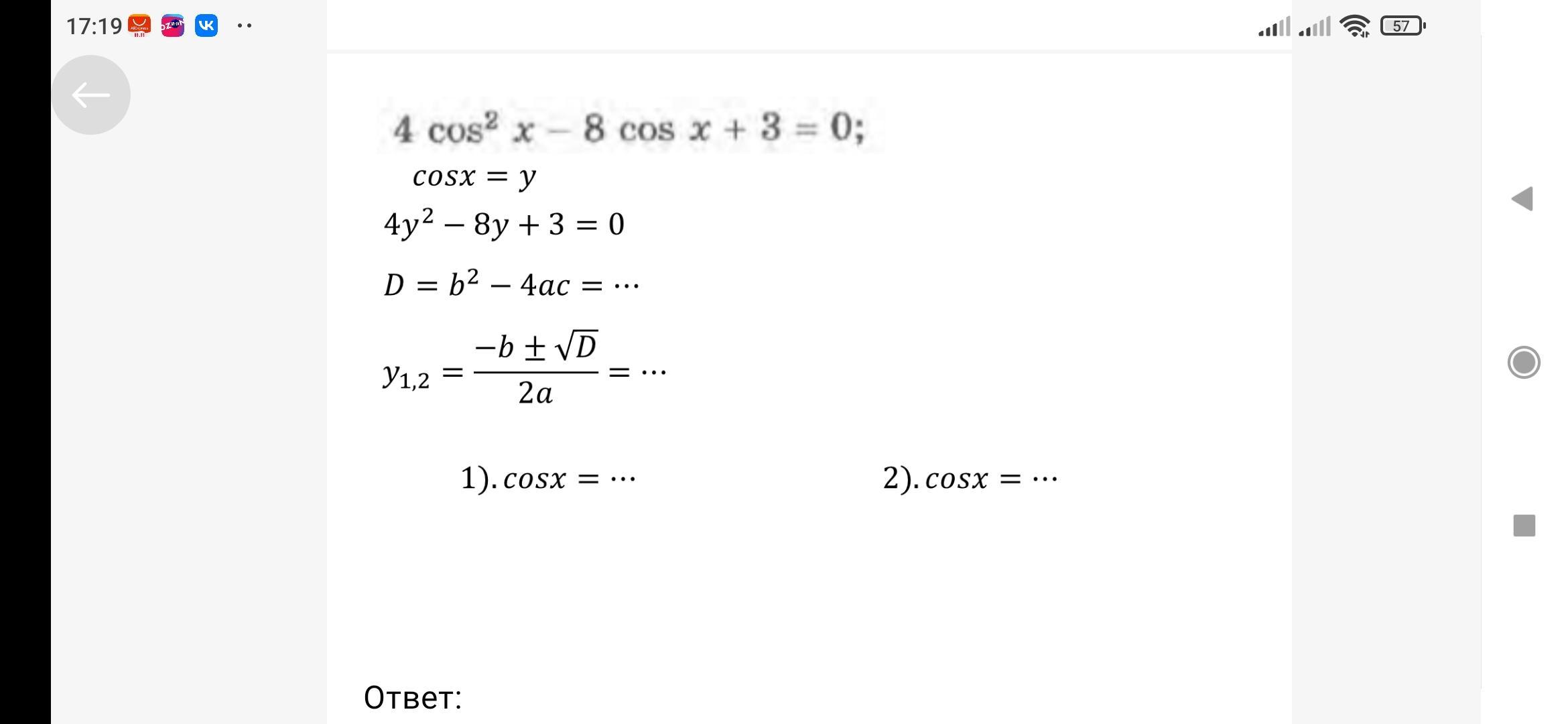
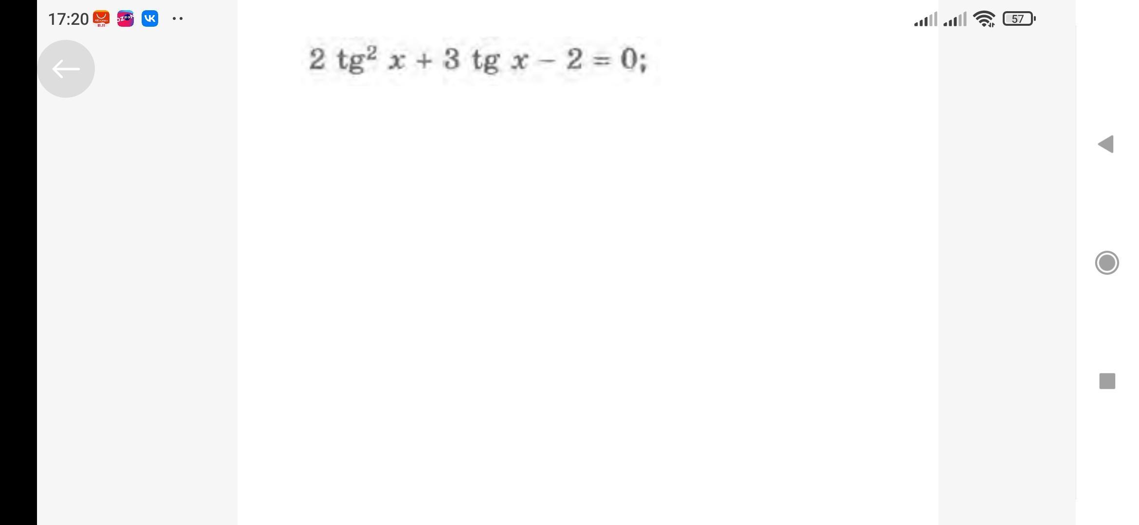
Помогите пж срочно, всего 3 примера

Приложения:

Ответы

Ответ дал: kapysva
1

Пошаговое объяснение:

...........................

Приложения:

liladr: А можно свести к квадратному уравнению пж?
kapysva: что именно?
liladr: Эти примеры
kapysva: они уже сведены
kapysva: или я не понимаю, что именно вы хотите
liladr: Ответ наподобие x=(-1)^n+1*arcsin 1/3 + pi*n, n принадлежит z
Вас заинтересует