• Предмет: Геометрия
  • Автор: justerqwer
  • Вопрос задан 7 лет назад

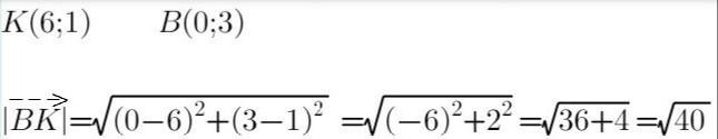
K(6;1)
B(0;3)
Вектор BK-?
|BK|-? ​

Ответы

Ответ дал: Аноним
1

Смотри................

Приложения:
Вас заинтересует