• Предмет: Алгебра
  • Автор: SofiyaSimanova
  • Вопрос задан 8 лет назад

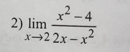
Помогите, пожалуйста, с решением

Приложения:

Ответы

Ответ дал: richardreinerarp
1

Ответ:

-2.

Объяснение:

\lim_{x \to\toi2} \frac{x^2-4}{2x-x^2} = |\frac{0}{0}| =  \lim_{x \to \toi2} \frac{2x}{2-2x}=\frac{4}{2-4} = \frac{4}{-2} = -2

Решено через теорему Лопиталя.

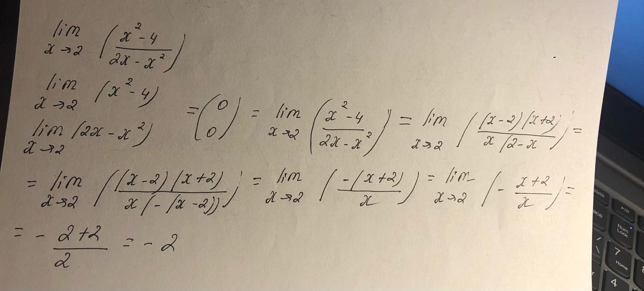
Ответ дал: Аноним
1

Ответ на фотографии.

Приложения:
Вас заинтересует