• Предмет: Математика
  • Автор: shelehvadim890
  • Вопрос задан 7 лет назад

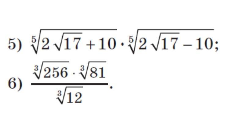
Спростити вираз срочно

Приложения:

Ответы

Ответ дал: toshaa02
1

Ответ:

5) -2, 6)12

Пошаговое объяснение:

Вас заинтересует