• Предмет: Математика
  • Автор: glasha121221
  • Вопрос задан 7 лет назад

СРОЧНО ПЖПЖПЖПЖАРОШУУУУУУ ХОТЬ ОДИИН!!​

Приложения:

Ответы

Ответ дал: ivanleonoff228
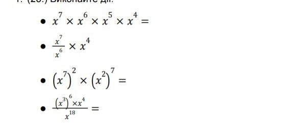
1

Ответ:

Пошаговое объяснение:

1)x22

2)x5

3)x28

4)x5

Вас заинтересует