ПОМОГИТЕ ПОЖАЛУЙСТА!!!!
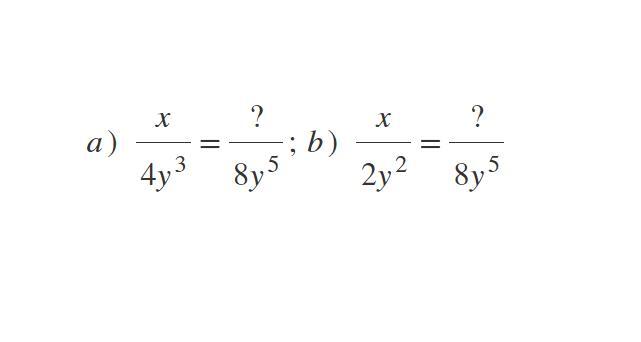
Зведи дроби до нового знаменника:
Свести дроби к новому знаменателю:
Приложения:

Ответы
Ответ дал:
1
Ответ:
Объяснение:
разделим новый знаменатель на старый и найдем доп.множитель
Приложения:

Вас заинтересует
2 года назад
3 года назад
3 года назад
8 лет назад
9 лет назад
9 лет назад