• Предмет: Алгебра
  • Автор: alexgorbunovgg
  • Вопрос задан 8 лет назад

СРОЧНО! У меня самостоятельная!

Приложения:

Ответы

Ответ дал: posylka17
1

Ответ:

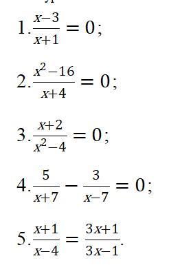
1.х=3,2.х=4,3.не решить,4.х=(2х-56)/(х^2-49),5.х=(13х+3)/(3х^2-13х+4).

Объяснение:

скачай фотомач и мозги не пудри плиз!

Ответ дал: karararar
1

Ответ:1.х=3.

х не равен (-1)

2.х=4 не равен (-4)

3. Нет решения х не равен 4 и х не равен (-4)

4. х=28

х не равно -7 и 7

5. х= (-3/13)

х не равен 4 и 1/3

Объяснение:

Вас заинтересует